Изофорон дизоцианат (IPDI)Химическая формула C12H18N2O2, является алициклическим дизоцианатом. IPDI является одним из наиболее активных дизоцианатных продуктов в общем использовании со стабильной реакцией. Его две изоцианатные группы имеют примерно в десять раз различные реакции, что способствует приготовлению различных прелимеров, и его давление паров низкое, что делает его более безопасным для использования и эксплуатации. Это отверстие гидроксильного преолимера (то есть полипропиленового гликоля), необходимого для полиуретанового клея композитного пропеллера. Он широко используется в пластмассах, клетках, фармацевтических препаратах, специях и других отраслях.

|
Химическая формула |
C12H18N2O2 |
|
Точная масса |
222 |
|
Молекулярный вес |
222 |
|
m/z |
222 (100.0%), 223 (13.0%) |
|
Элементный анализ |
C, 64.84; H, 8.16; N, 12.60; O, 14.39 |
|
|
|

Изофорон дизоцианат (IPDI)является алифатическим дизоцианатом с молекулярной формулой C ₁₂ H ₁₈ n ₂ O ₂ и молекулярной массой 222,3. В качестве основного сырья полиуретановой промышленности IPDI продемонстрировал незаменимую ценность в полях покрытий, клея, эластомеров, композитных материалов и т. Д. Из -за ее уникальной молекулярной структуры и превосходной производительности.
1.1 Преимущества молекулярной структуры
Молекулярная структура IPDI содержит одно изофороновое кольцо и две изоцианатные группы (- NCO), среди которых первичный NCO (n=C=O) влияет на стерический эффект затруднения циклогексана и заместительную метильную группу, приводя к более низкой реакции; Однако из-за его меньшего стерического препятствия реакционная способность Zhong NCO в 1,3-2,5 раза больше, чем у Bo NCO. Эта двойная характеристика активного сайта обеспечивает точный контроль молекулярных цепей в синтезе полимера, таких как приготовление линейных или разветвленных полиуретанов путем регулировки условий реакции.
1.2 Сравнение активности реакции
По сравнению с ароматическими дизоцианатами, такими как TDI и MDI, IPDI имеет более низкую реакционную активность, значительно более низкое давление паров (0,0013 кПа, 25 градусов), чем MDI (0,003 кПа) и более высокая безопасность работы.

Скорость реакции с гидроксильными группами в 4-5 раз больше, чем у HDI (гексаметилендизоцианат), что может значительно сократить производственный цикл. Например, при приготовлении полиуретановых эластомеров система IPDI может завершить отверждение в течение 2 часов при 60 градусах, в то время как система HDI требует 8 часов.
1.3 Характеристики реакции самостоятельной агрегации
IPDI может самостоятельно полимеризоваться в димер дикетона алифатического мочевины при 30-50 градусах при защите азота, и эта реакция может быть ускорена катализаторами, такими как 4-диметиламинопиридин. Дальнейшая полимеризация димеров может образовывать многофункциональные агломерированные изоцианаты, которые могут использоваться для приготовления высоких покрытий плотности сшивки с сокращением времени сушки на 50% по сравнению с традиционными системами.
2.1 Высокопроизводительные полиуретановые материалы
2.1.1 Помородовое покрытие
Полиуретановые покрытия на основе IPDI обладают превосходной сопротивлением старению ультрафиолета из -за отсутствия структуры бензольного кольца в их молекулах. В области автомобильной ремонтной краски покрытия, приготовленные при сополимеризации IPDI и акрилового эфира, по -прежнему поддерживают коэффициент удержания глянцевого состава более 90% после 2000 часов ускоренного испытания на старение QUV, что значительно превышает 60% покрытий на основе TDI. Согласно данным приложений от международной автомобильной компании, модели, использующие покрытие IPDI, могут продлевать срок службы корпуса на 10 лет и снизить затраты на техническое обслуживание на 40%.
2.1.2 износостойкий эластомер
Полиуретановый эластомер, приготовленный реакцией IPDI и полиэфира полиола, имеет береговую твердость до 85А, прочность на растяжение 50 мПа, прочность на разрыв 120 кН/м и износостойкость в три раза больше натурального каучука.
В области лезвий ветряных турбин эластомеры на основе IPDI используются для защитного слоя переднего края лезвия, который может выдержать температуру с -40 градусов до 80 градусов, повысить устойчивость к эрозии песка на 50%и продлить срок службы до 20 лет.
2.1.3
Водоподъемник полиуретановый верхний крыло с IPDI в качестве выклятого агента достигает выбросов ЛОС<50g/L in the coating of wind turbine blades, which is 80% lower than fluorocarbon coatings. According to actual test data from a certain wind power enterprise, the IPDI water-based coating showed no bubbles after 960 hours of salt spray testing, maintained zero adhesion, and reduced overall cost by 35% compared to fluorocarbon systems.
2.2 Композитные материалы и клеи
2.2.1 Твердый клей с пропеллентом
IPDI, в качестве отвержденного агента для полиуретановых кледей в композитных пропеллентах, может значительно улучшить механические свойства материалов. Исследование, проведенное определенной группой аэрокосмической технологии, показывает, что использование вылеченного топлива IPDI может достичь колебаний прочности на растяжение<10% and a fracture elongation retention rate of>85% в пределах температурного диапазона -40 градусов до +60 степень, отвечая требованиям высокого определения самолетов.
2.2.2 Структурный клей
Клей, приготовленный IPDI и полиэфирным полиолом, имеет прочность на сдвиг 35 МПа и улучшенную температурную стойкость до 180 градусов в связи составных материалов из углеродного волокна. Согласно приложению определенного авиационного производственного предприятия, компоненты крыла с использованием клея IPDI имеют усталостную жизнь в два раза больше, чем у эпоксидных систем и снижение веса на 15%.
2.3 Специальные функциональные материалы
2.3.1 Оптическая смола
Оптическая смоля, приготовленная сополимеризацией IPDI и гидроксиэтилметакрилата, имеет показатель преломления 1,58, номер 32 и пропуску 92%. Его можно использовать для производства высококачественных объективов. Тестирование продукта определенной оптической компанией показывает, что линзы на основе IPDI имеют 50% улучшение воздействия устойчивости по сравнению с линзами ПК и менее подвержены пожелтению.
2.3.2 Биомедицинские материалы
Медицинский полиуретан, приготовленныйИзофорон дизоцианат (IPDI)и поликапролактон обладает биосовместимостью в соответствии со стандартом ISO 10993 и может использоваться для имплантатов, таких как искусственные клапаны сердца и сосудистые стенты. Эксперименты на животных показали, что цикл деградации материалов на основе IPDI in vivo может контролироваться в течение 6-12 месяцев, а воспалительный ответ нет.

Стабильный при комнатной температуре и давлении, изофорон дизоцианат реагирует с веществами, содержащими активное водород, такие как вода, фенол, спирт, эфир, амин, меркаптан, карбамат, мочевина и т. Д.
Реакция с активным водородом: он может сформировать мочевину, аминокислотный эфир и т. Д. Реакция формирования мочевины может использоваться для идентификации аминогрузки в органическом анализе или, наоборот, титровая содержание изоцианата с аминогруппой.

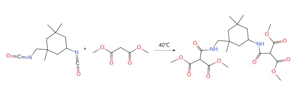
IPDI может быть кислым с карбонильными соединениями - реакция водорода с образованием амидного прекращенного изоцианата, такого как IPDI и диметиллонат - блокированный изоцианат может быть получен путем реакции водорода при 40 градусах.

Реакция самостоятельной полимеризации: при защите азота и нормальном давлении 30-50 градусов образуется димер дикетона алифатического мочевины. Первичным катализатором может быть 4-диметиламинопиридин, 4-диэтиламинопиридин, 4-пирролидин, 4-пиперидопиридин и 4 - (4-метилпиперидинил) пиридин. Катализатор CO представляет собой эпоксидное соединение, такое как пропиленоксид, этиленоксид, эпоксидный бутан и эпоксидный хлоропропан.

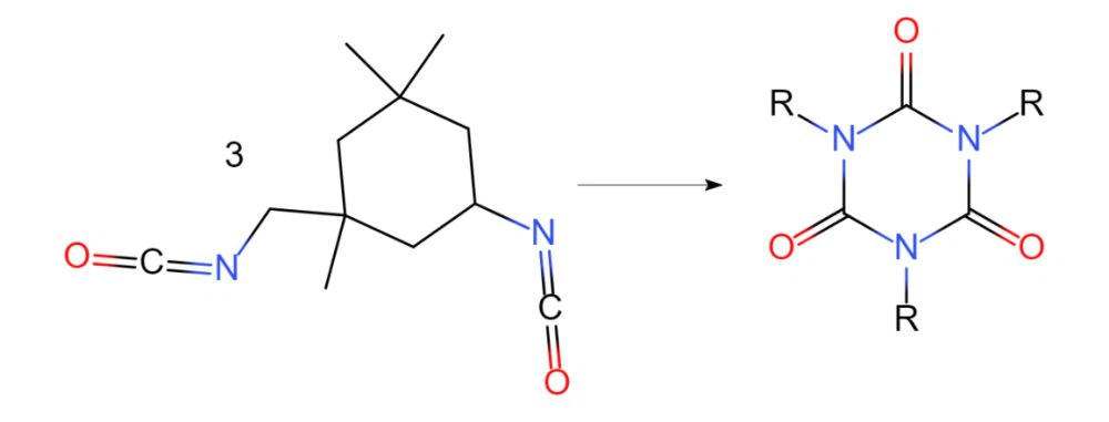
Тример IPDI образуется под защитой азота и нормальным давлением 50-90 градусов. Катализатор может использоваться в качестве Polycat 46. Из -за эффекта индукции и стерического препятствия, реакционная способность двух NCO IPDI с асимметричной молекулярной структурой различна. Когда один - NCO реагирует, реакционная активность оставшегося - NCO уменьшается. После образования тримера ингибиторы полимеризации, такие как метиллуогенсульфонат, фосфорная кислота, ацилхлорид и т. Д., Чтобы избежать полной полимеризации и отверждения.

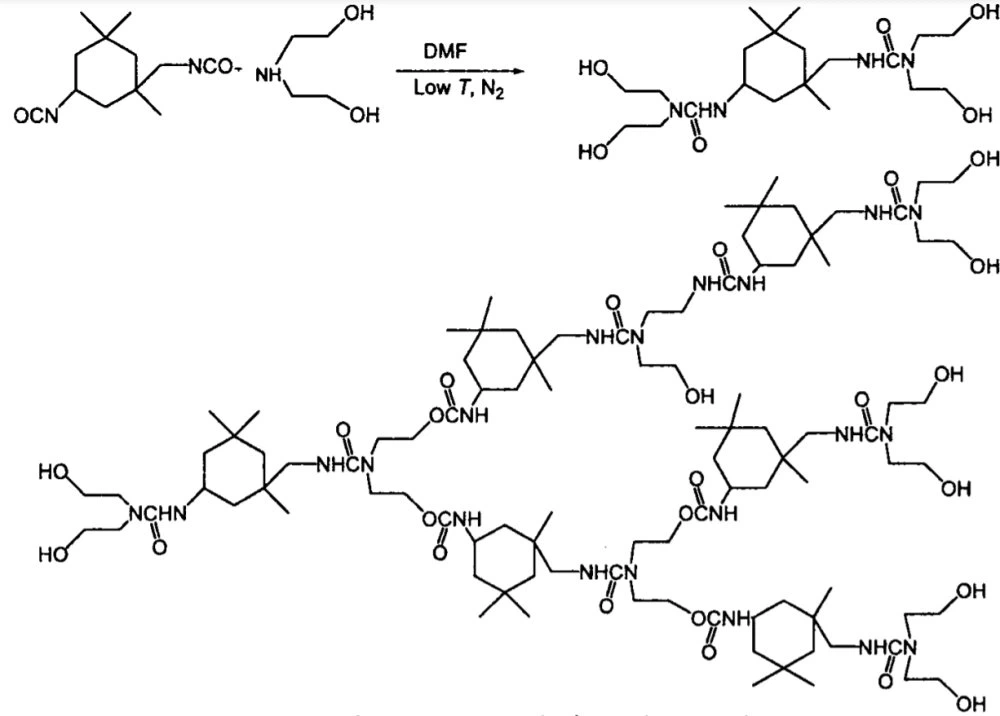
Полимеризация для формирования полимеров: IPDI может непосредственно полимеризоваться с диетаноламином (DEA) для образования полимерных соединений на одном этапе без добавления других вспомогательных реагентов. Более того, поскольку активная активность водорода групп - NH и - OH в DEA различна, результаты реакции будут образовывать гиперграбранные полимеры. Он также может реагировать с полиамидом с образованием замещенной мочеисеты, что быстрее, чем реакция с полиолами, и период активации, как правило, очень короткий. Если он реагирует с водой, гидролиз функциональной группы NCO будет производить CO2 и амин, а выпущенный амин автоматически реагирует с избыточным изоцианатом для генерации мочевины и поперечного канала. Этот вид реакции можно превратить в одну компонентную систему, но влага должна быть предотвращена во время хранения.


Изофорон дизоцианат (IPDI)Соединения не существуют в природе. Самое раннее изоцианатное соединение готовилось британским химиком Вюрцем в 1849 году посредством реакции двойного разложения алкилсульфата и цианата калия.
Затем, в 1850 году, американский химик Хофманн сделал фенил изоцианат с использованием бензамида.
В 1884 году профессор Хеншель из Германии и другие синтезировали изоцианатные соединения путем реагирования амина или амина солью ацилхлоридом. Эта реакция заложила теоретическую основу для промышленного производства изоцианатных соединений.
В 1940 -х и 1950 -х годах процесс содействия фосенации в процессе фотогазификации жидкой фазы использовался в основном для приготовления ADI. ADI относится к алифатическим и алициклическим дизоцианатам. Основные разновидности включают HDI, IPDI и H12MDI. Кроме того, он также включает тетраметилметилбензоцианат дизоцианата (TMXDI), триметилгексаметилендизоцианат (TMDI), фениленметилдизоцианат (XDL) метилциклогексан дизоцианат (HTDI) и т. Д.
В 1960 году немецкая компания Hurst Company разработала новый тип изоцианата, названный изофороном дизоцианатом.
В 1989 году Bayer Company впервые представила технологию подготовки ADI с помощью высокотемпературной газовой фазы, а затем метод фотозификации газовой фазы постепенно стал основной технологией подготовки ADI.
Когда в конце 1950 -х годов в Китае началось развитие полиуретановых смоляных покрытий, он начал связываться с использованием и производством изоцианатных соединений.
горячая этикетка : Изофорон диизоцианат (IPDI) CAS 4098-71-9, поставщики, производители, завод, оптовая, покупка, цена, объем, на продажу







